肇庆市瑞隆电子有限公司
在线留言
关注微信
13376552383
首页
关于我们
产品中心
解决方案
应用领域
新闻中心
联系我们
首页
中低压插件式固态电容E1系列
产品描述:
● Super low ESR, high ripple current ● Load life of 2000 hours at 105℃ ● RoHS Compliant
在线咨询
13376552383
产品分类
PRODUCT
中低压插件式固态电容
高压段插件式固态电容
贴片式固态电容器型
固液混合电容
相关产品
固液混合铝电解电容H6系列
固液混合铝电解电容M6系列
贴片固态电容器M1系列
贴片固态电容器M2系列
产品详情
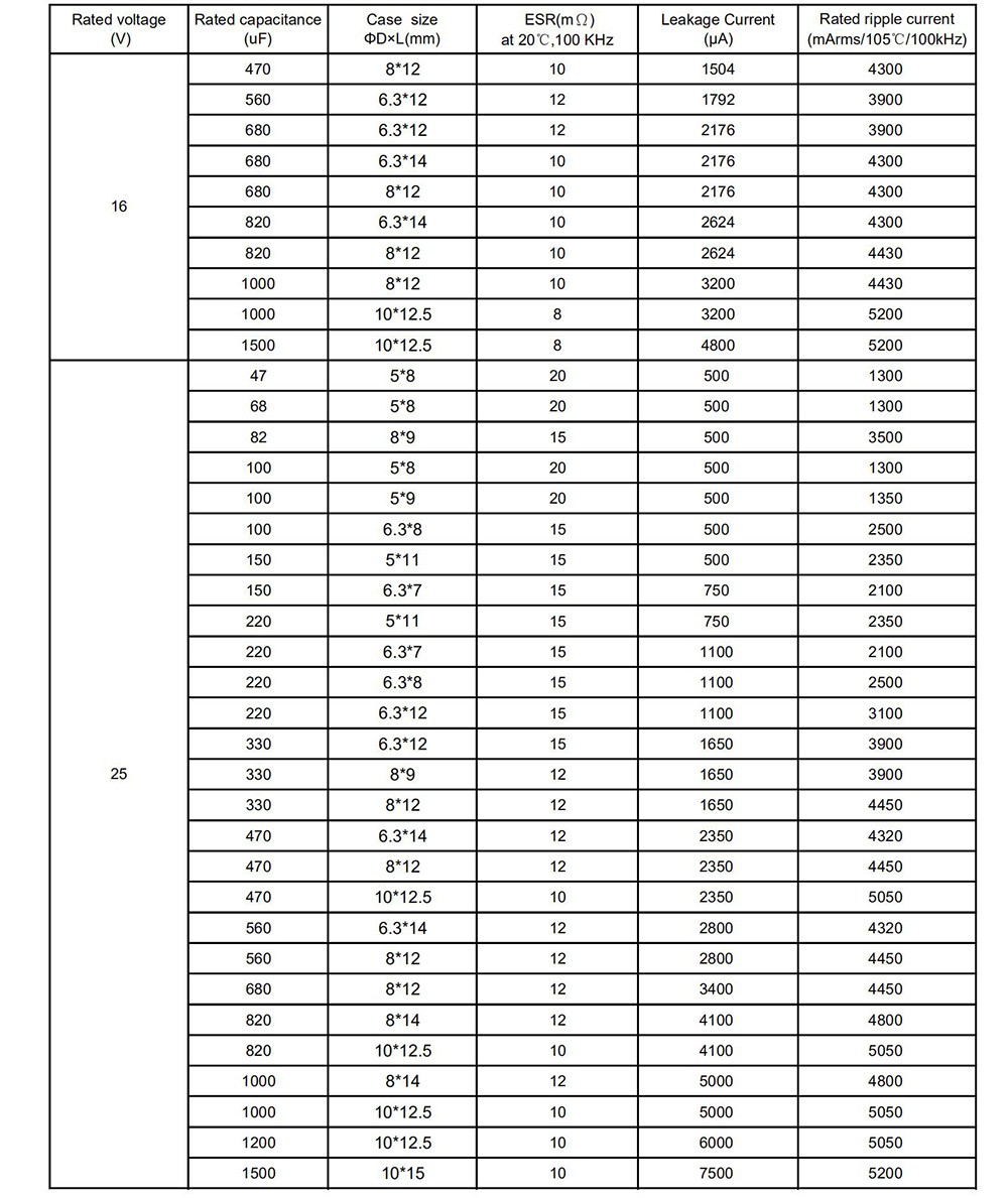
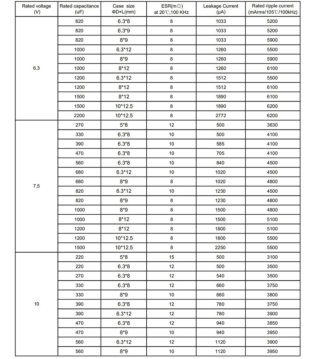
规格参数